CRF Logo
Spring 2012 Newsletter

Define Your Product Before You Design

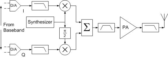
Startups are often founded on a new technology that promises significant improvement to the state of the art. Yet too often the founders, while pioneers and leading experts in a new technology, could benefit from expertise in the field where that technology will be applied so that they can define their product. As an example, let's consider a power amplifier (PA) designed for the WiFi transmitter in the simplified block diagram below.

Typical WiFi Transmitter Block Diagram

WiFi Transmitter Block Diagram

The requirements for a WiFi radio are defined in the IEEE 802.11 standard. One key transmitter requirement is the constellation error, essentially the error-vector magnitude (EVM) expressed in dB. When transmitting at 54 Mbps, the RMS deviation from the ideal constellation points must be at least 25 dB below the RMS carrier level. This drives requirements for the transmitter components, including a linearity requirement for the PA.

Because the PA compresses as the output power increases, the shape of the output signal does not perfectly follow that of the input signal, leading to errors in the constellation. This is shown in the simulation below.

Simulated 54 Mbps WiFi Constellation

Constellation Error -25 dB

The red constellation points deviate from the ideal (blue) constellation points due to an amplifier that compresses as the input signal increases. This is a real-world issue for any amplifier but especially in a mobile device such as a lap top or smart phone, where low power consumption is a must. Because the power consumption of an amplifier generally increases with linearity, the linearity margin is kept as low as possible. An amplifier manufacturer might apply the -25 dB constellation error requirement directly to the PA. This is a grievous mistake.

The PA is not the only contributor to constellation error. There is also
  • Degradation from the mixers (by their nature not linear components)
  • Quantization noise from the digital to analog converters (D/A)
  • Phase noise from the synthesizer
  • IQ amplitude and phase imbalance
The linearity requirement of each component should be derived from a budget for the entire transmitter that considers degradation due to all components and allocates a portion of the permitted -25 dB error to each one. Typically, the PA in this example would have to meet a constellation error of less than -31 dB.

Similar considerations apply to all of the other requirements, including transmitter specifications such as
  • Spurious emissions
  • Spectrum mask
  • Frequency accuracy
  • Spectral flatness
and receiver specifications such as
  • Sensitivity
  • Out of band rejection
  • Maximum input level
Starting from proper specifications is just as important as executing a good design, but deriving a component's specifications requires a different skill set, including systems engineering and simulation. This is often difficult for emerging companies with a core competence centered on a specific technology, but it should not be neglected.

Advantage

Starting a design with proper specifications
  • Saves time
  • Saves money
  • Results in products that the market actually wants
If you do not have the tools and know-how ... just call CustomRF.


About CustomRF

CustomRF was founded in 2003. Our customers range from small to mid sized companies, early stage to well established, whom we have helped design new products and improve and trouble shoot existing ones. Current and past customers include
  • AES Intellinet
  • Bandspeed
  • C & C Technologies
  • Finish Line Product Development
  • Maguffin Microwave
  • octoScope
  • Philips Semiconductor
Heinz Bachmann is now the sole owner of CustomRF. He has more than 20 years of technical, marketing and management experience in the analog, RF and microwave arena. His expertise is in concept development, systems architecture and analysis, and simulation and hardware design. Before founding CustomRF he was employed in engineering, marketing and management functions at Philips Semiconductor, Systemonic, Raytheon, Advanced TechCom and GTE. He received his Diploma in Electrical Engineering from the ETH (Federal Institute of Technology), Zürich, Switzerland.
Heinz Photo

If you do not wish to receive any further newsletters from CustomRF, send an Email to unsubscribe@customrf.com.

CustomRF |  9042 Albaugh Road  |  New Windsor  |  MD  |   21776  |  978.793.1518  |  www.customrf.com